|
Standard Motor |
QF1200MU-AC |
QF1200MU-HT |
QF1200MU-OEM |
QF1200MU-QCON |
QF1200MU-ATEX |
|
|---|---|---|---|---|---|---|
|
Flow Rate Maximum |
Eccentric Shaft 3° |
750 lph (12.5 lpm) |
- |
- |
- |
- |
|
Eccentric Shaft 5° |
1200 lph (20 lpm) |
1200 lph (20 lpm) |
1200 lph (20 lpm) |
1200 lph (20 lpm) |
1200 lph (20 lpm) |
|
|
Flow Rate Minimum * |
Eccentric Shaft 3° |
10 lph (0.167 lpm) |
- |
- |
- |
- |
|
Eccentric Shaft 5° |
20 lph (0.333 lpm) |
6 lph (0.1 lpm) |
6 lph (0.1 lpm) |
6 lph (0.1 lpm) |
75 lph (1.25 lpm) |
|
|
Pressure |
Temperature of Fluid < 40°C (104°F) |
6 bar (87 psi) |
6 bar (87 psi) |
6 bar (87 psi) |
6 bar (87 psi) |
6 bar (87 psi) |
|
Temperature of Fluid > 40°C (104°F) |
4 bar (58 psi) |
4 bar (58 psi) |
4 bar (58 psi) |
4 bar (58 psi) |
4 bar (58 psi) |
|
|
Maximum Temperature |
Fluid |
80°C (176°F) |
80°C (176°F) |
80°C (176°F) |
80°C (176°F) |
80°C (176°F) |
|
CIP |
90°C (194°F) |
90°C (194°F) |
90°C (194°F) |
90°C (194°F) |
90°C (194°F) |
|
|
SIP |
130°C (266°F) |
130°C (266°F) |
130°C (266°F) |
130°C (266°F) |
130°C (266°F) |
|
|
Autoclave |
130°C (266°F) |
130°C (266°F) |
130°C (266°F) |
130°C (266°F) |
130°C (266°F) |
|
|
Pump Speed Range |
rpm |
30 – 2,400 |
10 – 2,400 |
- |
10 – 2,400 |
115 – 2,400 |
|
Suction Lift Dry at 1800 rpm |
Eccentric Shaft 3° |
2.5 – 3 m (8.2-9.8 ft) |
- |
- |
- |
- |
|
Eccentric Shaft 5° |
4 – 4.5 m (13.1-14.7 ft) |
4 – 4.5 m (13.1-14.7 ft) |
4 – 4.5 m (13.1-14.7 ft) |
4 – 4.5 m (13.1-14.7 ft) |
4 – 4.5 m (13.1-14.7 ft) |
|
|
Volume Specifications |
Approximated Volume per |
9.6 ml (5°) |
9.6 ml |
9.6 ml |
9.6 ml |
9.6 ml |
|
Filling Volume Without Connectors |
75 ml |
75 ml |
75 ml |
75 ml |
75 ml |
|
|
Connection Specification (Standard) |
Connectors |
3/4" TC |
3/4" TC |
3/4" TC |
3/4" TC |
3/4" TC |
|
Position of Connectors |
Inline |
Inline |
Inline |
Inline |
Inline |
|
|
Number of Flow Directions |
4 |
4 |
4 |
4 |
4 |
|
|
Product Wetted Materials (Standard) |
Pump Housing |
SS316L |
SS316L |
SS316L |
SS316L |
SS316L |
|
Valve Plate |
SS316L |
SS316L |
SS316L |
SS316L |
SS316L |
|
|
Diaphragms |
TPE |
TPE |
TPE |
TPE |
TPV |
|
|
Valves |
EPDM |
EPDM |
EPDM |
EPDM |
EPDM |
|
|
O-rings |
EPDM |
EPDM |
EPDM |
EPDM |
EPDM |
|
|
Certificates / Proofs (Optional) |
Elastomere (product wetted) |
USP <88> Cl. VI; FDA21CFR177; |
USP <88> Cl. VI; FDA21CFR177; |
USP <88> Cl. VI; FDA21CFR177; |
USP <88> Cl. VI; |
USP <88> Cl. VI; FDA21CFR177; BSE/TSE Safe |
|
Stainless Steel Parts (product wetted) |
3.1; Surface Roughness; Ferrite Content |
3.1; Surface Roughness; Ferrite Content |
3.1; Surface Roughness; Ferrite Content |
3.1; Surface Roughness; |
3.1; Surface Roughness; Ferrite Content |
|
|
Motor (Standard) |
Rated speed |
1375 min–1 (50 Hz) |
2400 min–1 |
2400 min–1 |
2400 min–1 |
1445 min–1 (50 Hz) |
|
Voltage |
230/400 V |
110 – 230 V |
3 x 230V / 3 x 400V |
110 – 230 V |
400 V |
|
|
Length |
0.37 kW |
0.485 kW |
- |
0.485 kW |
0.55 kW |
|
|
Pump Dimension with Motor and Housing |
Length |
487 mm (19.17") |
489 mm (19.25") |
489 mm (19.25") |
586mm (23,07") |
535 mm (21.06") |
|
Width |
159 mm (6.26") |
200 mm (7.87") |
159 mm (6.26") |
200 mm (7.87") |
179 mm (7.05") |
|
|
Height |
210 mm (8.27") |
220 mm (8.66") |
163 mm (6.42") |
264mm (10,39") |
328 mm (12.91") |
|
|
Pump Weight with Motor and Housing |
- |
24 kg (53 lb) |
25 kg (55 lb) |
17.7 kg (39 lb) |
29,2kg (64,18 lb) |
41 kg (90.4 lb) |
Other connection specifications, materials, and motors available on request.
* When using pump with control box: 20 lph (0.333 lpm) and 40 lph (0.667 lpm)
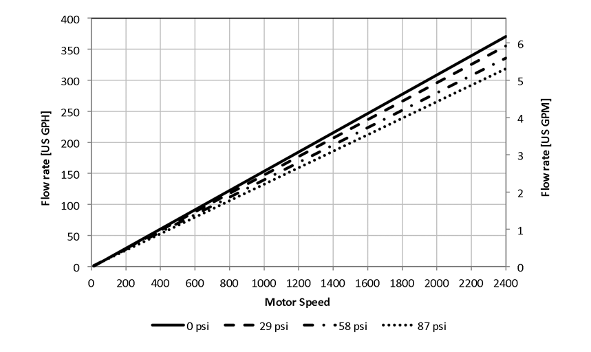
QF1200MU Eccentric Shaft 5° — Liter
QF1200MU-HT Eccentric Shaft 5° — Liter
QF1200MU Eccentric Shaft 5° — Gallon
QF1200MU-HT Eccentric Shaft 5° — Gallon
Didn't find what you are looking for? Feel free to contact us. We look forward to hearing from you!
|
Standard Motor |
QF1200MU-AC |
QF1200MU-HT |
QF1200MU-OEM |
QF1200MU-QCON |
QF1200MU-ATEX |
|
|---|---|---|---|---|---|---|
|
Flow Rate Maximum |
Eccentric Shaft 3° |
750 lph (12.5 lpm) |
- |
- |
- |
- |
|
Eccentric Shaft 5° |
1200 lph (20 lpm) |
1200 lph (20 lpm) |
1200 lph (20 lpm) |
1200 lph (20 lpm) |
1200 lph (20 lpm) |
|
|
Flow Rate Minimum * |
Eccentric Shaft 3° |
10 lph (0.167 lpm) |
- |
- |
- |
- |
|
Eccentric Shaft 5° |
20 lph (0.333 lpm) |
6 lph (0.1 lpm) |
6 lph (0.1 lpm) |
6 lph (0.1 lpm) |
75 lph (1.25 lpm) |
|
|
Pressure |
Temperature of Fluid < 40°C (104°F) |
6 bar (87 psi) |
6 bar (87 psi) |
6 bar (87 psi) |
6 bar (87 psi) |
6 bar (87 psi) |
|
Temperature of Fluid > 40°C (104°F) |
4 bar (58 psi) |
4 bar (58 psi) |
4 bar (58 psi) |
4 bar (58 psi) |
4 bar (58 psi) |
|
|
Maximum Temperature |
Fluid |
80°C (176°F) |
80°C (176°F) |
80°C (176°F) |
80°C (176°F) |
80°C (176°F) |
|
CIP |
90°C (194°F) |
90°C (194°F) |
90°C (194°F) |
90°C (194°F) |
90°C (194°F) |
|
|
SIP |
130°C (266°F) |
130°C (266°F) |
130°C (266°F) |
130°C (266°F) |
130°C (266°F) |
|
|
Autoclave |
130°C (266°F) |
130°C (266°F) |
130°C (266°F) |
130°C (266°F) |
130°C (266°F) |
|
|
Pump Speed Range |
rpm |
30 – 2,400 |
10 – 2,400 |
- |
10 – 2,400 |
115 – 2,400 |
|
Suction Lift Dry at 1800 rpm |
Eccentric Shaft 3° |
2.5 – 3 m (8.2-9.8 ft) |
- |
- |
- |
- |
|
Eccentric Shaft 5° |
4 – 4.5 m (13.1-14.7 ft) |
4 – 4.5 m (13.1-14.7 ft) |
4 – 4.5 m (13.1-14.7 ft) |
4 – 4.5 m (13.1-14.7 ft) |
4 – 4.5 m (13.1-14.7 ft) |
|
|
Volume Specifications |
Approximated Volume per |
9.6 ml (5°) |
9.6 ml |
9.6 ml |
9.6 ml |
9.6 ml |
|
Filling Volume Without Connectors |
75 ml |
75 ml |
75 ml |
75 ml |
75 ml |
|
|
Connection Specification (Standard) |
Connectors |
3/4" TC |
3/4" TC |
3/4" TC |
3/4" TC |
3/4" TC |
|
Position of Connectors |
Inline |
Inline |
Inline |
Inline |
Inline |
|
|
Number of Flow Directions |
4 |
4 |
4 |
4 |
4 |
|
|
Product Wetted Materials (Standard) |
Pump Housing |
SS316L |
SS316L |
SS316L |
SS316L |
SS316L |
|
Valve Plate |
SS316L |
SS316L |
SS316L |
SS316L |
SS316L |
|
|
Diaphragms |
TPE |
TPE |
TPE |
TPE |
TPV |
|
|
Valves |
EPDM |
EPDM |
EPDM |
EPDM |
EPDM |
|
|
O-rings |
EPDM |
EPDM |
EPDM |
EPDM |
EPDM |
|
|
Certificates / Proofs (Optional) |
Elastomere (product wetted) |
USP <88> Cl. VI; FDA21CFR177; |
USP <88> Cl. VI; FDA21CFR177; |
USP <88> Cl. VI; FDA21CFR177; |
USP <88> Cl. VI; |
USP <88> Cl. VI; FDA21CFR177; BSE/TSE Safe |
|
Stainless Steel Parts (product wetted) |
3.1; Surface Roughness; Ferrite Content |
3.1; Surface Roughness; Ferrite Content |
3.1; Surface Roughness; Ferrite Content |
3.1; Surface Roughness; |
3.1; Surface Roughness; Ferrite Content |
|
|
Motor (Standard) |
Rated speed |
1375 min–1 (50 Hz) |
2400 min–1 |
2400 min–1 |
2400 min–1 |
1445 min–1 (50 Hz) |
|
Voltage |
230/400 V |
110 – 230 V |
3 x 230V / 3 x 400V |
110 – 230 V |
400 V |
|
|
Length |
0.37 kW |
0.485 kW |
- |
0.485 kW |
0.55 kW |
|
|
Pump Dimension with Motor and Housing |
Length |
487 mm (19.17") |
489 mm (19.25") |
489 mm (19.25") |
586mm (23,07") |
535 mm (21.06") |
|
Width |
159 mm (6.26") |
200 mm (7.87") |
159 mm (6.26") |
200 mm (7.87") |
179 mm (7.05") |
|
|
Height |
210 mm (8.27") |
220 mm (8.66") |
163 mm (6.42") |
264mm (10,39") |
328 mm (12.91") |
|
|
Pump Weight with Motor and Housing |
- |
24 kg (53 lb) |
25 kg (55 lb) |
17.7 kg (39 lb) |
29,2kg (64,18 lb) |
41 kg (90.4 lb) |
Other connection specifications, materials, and motors available on request.
* When using pump with control box: 20 lph (0.333 lpm) and 40 lph (0.667 lpm)
QF1200MU Eccentric Shaft 5° — Liter
QF1200MU-HT Eccentric Shaft 5° — Liter
QF1200MU Eccentric Shaft 5° — Gallon
QF1200MU-HT Eccentric Shaft 5° — Gallon
Didn't find what you are looking for? Feel free to contact us. We look forward to hearing from you!