|
Standard Motor |
QF4400SU-AC |
QF4400SU-HT |
QF4400SU-OEM |
QF4400SU-QCON |
|
|---|---|---|---|---|---|
|
Flow Rate Maximum |
Eccentric Shaft 6° |
5000 lph (83 lpm) |
5000 lph (83 lpm) |
5000 Iph (83 Ipm) |
5000 lph (83 lpm) |
|
Flow Rate Minimum |
Eccentric Shaft 6° |
150 lph (2.5 lpm) |
50 lph (0.83 lpm) |
50 lph (0.83 lpm) |
50 lph (0.83 lpm) |
|
Pressure |
Temperature of Fluid < 40°C (104°F) |
4 bar (58 psi) |
4 bar (58 psi) |
4 bar (58 psi) |
6 bar (87 psi) |
|
Temperature of Fluid > 40°C (104°F) |
4 bar (58 psi) |
4 bar (58 psi) |
4 bar (58 psi) |
4 bar (58 psi) |
|
|
Maximum Temperature |
Fluid |
60°C (140°F) |
60°C (140°F) |
60°C (140°F) |
80°C (176°F) |
|
Autoclave |
130°C (266°F) |
130°C (266°F) |
130°C (266°F) |
130°C (266°F) |
|
|
Suction Lift Dry |
Eccentric Shaft 6° |
4 – 4.5 m (13.1-14.7 ft) |
4 – 4.5 m (13.1-14.7 ft) |
4 – 4.5 m (13.1-14.7 ft) |
4 - 4.5 m (13.1 - 14.7 ft) |
|
Volume |
Approximated |
95 ml |
95 ml |
95 ml |
95 ml |
|
Filling Volume |
820 ml |
820 ml |
820 ml |
820 ml |
|
|
Connection Specification |
Connectors |
1.5" TC |
1.5" TC |
1.5" TC |
1.5" TC |
|
Position of Connectors |
Front |
Front |
Front |
Front |
|
|
Product Wetted |
Pump Chamber |
PP |
PP |
PP |
SS316L |
|
Valve Plate |
PP |
PP |
PP |
SS316L |
|
|
Diaphragms |
TPE |
TPE |
TPE |
TPE |
|
|
Valves |
EPDM / SS316L |
EPDM / SS316L |
EPDM |
EPDM/SS316L |
|
|
O-rings |
EPDM |
EPDM |
EPDM |
EPDM |
|
|
Certificates/Proofs |
Elastomere (product wetted) |
USP <88> Cl. VI; FDA21CFR177; |
USP <88> Cl. VI; FDA21CFR177; |
USP <88> Cl. VI; FDA21CFR177; |
USP <88> Cl. VI; FDA21CFR177; BSE/TSE Safe |
|
Motor |
Rated speed |
1455 min-1 (50 Hz) |
3000 min-1 (50 Hz) |
3000 min-1 (50 Hz) |
3000 min-1 (50 Hz) |
|
Voltage |
230/400 V |
400 V |
3 x 230V / 3 x 400V |
400 V* |
|
|
Power |
2.2 kW |
4.0 kW |
- |
4.0 kW |
|
|
Pump Dimension |
Length |
852 mm (33.54") |
790 mm (31.10") |
670 mm (26.38") |
893mm (35,16') |
|
Width |
250 mm (9.84") |
275 mm (10.83") |
225 mm (8.86") |
275 mm (10.83") |
|
|
Height |
333 mm (13.11") |
393 mm (15.47") |
233 mm (9.17") |
405mm (15,94') |
|
|
Pump Weight with |
|
105 kg (232 lb) |
75 kg (165 lb) |
50.4 kg (111 lb) |
90 kg (198 lb) |
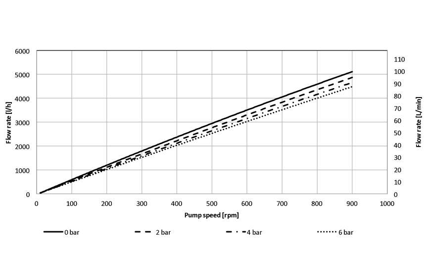
QF4400SU Eccentric Shaft 6° – Liter
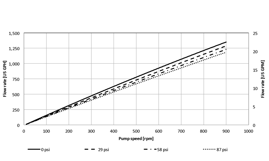
QF4400SU Eccentric Shaft 6° – Gallon
QF4400SU-HT Eccentric Shaft 6° – Liter
QF4400SU-HT Eccentric Shaft 6° – Gallon
Didn't find what you are looking for? Feel free to contact us. We look forward to hearing from you!
|
Standard Motor |
QF4400SU-AC |
QF4400SU-HT |
QF4400SU-OEM |
QF4400SU-QCON |
|
|---|---|---|---|---|---|
|
Flow Rate Maximum |
Eccentric Shaft 6° |
5000 lph (83 lpm) |
5000 lph (83 lpm) |
5000 Iph (83 Ipm) |
5000 lph (83 lpm) |
|
Flow Rate Minimum |
Eccentric Shaft 6° |
150 lph (2.5 lpm) |
50 lph (0.83 lpm) |
50 lph (0.83 lpm) |
50 lph (0.83 lpm) |
|
Pressure |
Temperature of Fluid < 40°C (104°F) |
4 bar (58 psi) |
4 bar (58 psi) |
4 bar (58 psi) |
6 bar (87 psi) |
|
Temperature of Fluid > 40°C (104°F) |
4 bar (58 psi) |
4 bar (58 psi) |
4 bar (58 psi) |
4 bar (58 psi) |
|
|
Maximum Temperature |
Fluid |
60°C (140°F) |
60°C (140°F) |
60°C (140°F) |
80°C (176°F) |
|
Autoclave |
130°C (266°F) |
130°C (266°F) |
130°C (266°F) |
130°C (266°F) |
|
|
Suction Lift Dry |
Eccentric Shaft 6° |
4 – 4.5 m (13.1-14.7 ft) |
4 – 4.5 m (13.1-14.7 ft) |
4 – 4.5 m (13.1-14.7 ft) |
4 - 4.5 m (13.1 - 14.7 ft) |
|
Volume |
Approximated |
95 ml |
95 ml |
95 ml |
95 ml |
|
Filling Volume |
820 ml |
820 ml |
820 ml |
820 ml |
|
|
Connection Specification |
Connectors |
1.5" TC |
1.5" TC |
1.5" TC |
1.5" TC |
|
Position of Connectors |
Front |
Front |
Front |
Front |
|
|
Product Wetted |
Pump Chamber |
PP |
PP |
PP |
SS316L |
|
Valve Plate |
PP |
PP |
PP |
SS316L |
|
|
Diaphragms |
TPE |
TPE |
TPE |
TPE |
|
|
Valves |
EPDM / SS316L |
EPDM / SS316L |
EPDM |
EPDM/SS316L |
|
|
O-rings |
EPDM |
EPDM |
EPDM |
EPDM |
|
|
Certificates/Proofs |
Elastomere (product wetted) |
USP <88> Cl. VI; FDA21CFR177; |
USP <88> Cl. VI; FDA21CFR177; |
USP <88> Cl. VI; FDA21CFR177; |
USP <88> Cl. VI; FDA21CFR177; BSE/TSE Safe |
|
Motor |
Rated speed |
1455 min-1 (50 Hz) |
3000 min-1 (50 Hz) |
3000 min-1 (50 Hz) |
3000 min-1 (50 Hz) |
|
Voltage |
230/400 V |
400 V |
3 x 230V / 3 x 400V |
400 V* |
|
|
Power |
2.2 kW |
4.0 kW |
- |
4.0 kW |
|
|
Pump Dimension |
Length |
852 mm (33.54") |
790 mm (31.10") |
670 mm (26.38") |
893mm (35,16') |
|
Width |
250 mm (9.84") |
275 mm (10.83") |
225 mm (8.86") |
275 mm (10.83") |
|
|
Height |
333 mm (13.11") |
393 mm (15.47") |
233 mm (9.17") |
405mm (15,94') |
|
|
Pump Weight with |
|
105 kg (232 lb) |
75 kg (165 lb) |
50.4 kg (111 lb) |
90 kg (198 lb) |
QF4400SU Eccentric Shaft 6° – Liter
QF4400SU Eccentric Shaft 6° – Gallon
QF4400SU-HT Eccentric Shaft 6° – Liter
QF4400SU-HT Eccentric Shaft 6° – Gallon
Didn't find what you are looking for? Feel free to contact us. We look forward to hearing from you!